2022年已经来临,高三学生也在陆续进行期末考试,并迎接寒假的到来。寒假对于高三学生来说,不仅是查缺补漏的好时机,更是准备强基计划的重要时刻。
清华大学2021年强基计划考试于6月28日上午8:00-12:00进行,笔试为通过性测试,所有考生都要参加。考试形式为机考,试题一起发给考生,中间可申请上厕所。
理科:数学35道;物理20道,化学18道,都为不定项选择。还有两篇作文。
难度:据考生反应,清华强基校测理科试题在数学高中生数学联赛一试水平,物理、化学大约在竞赛预赛水平。
文科:一共75道题,除语文4道单选外全部为不定项选择题,试题包括35道数学,20道语文,20道历史,此外还有两篇作文。
难度:数学在竞赛和高考难度之间,语文基础知识较多,难度略高于高考;历史对素养和课外知识要求很高。






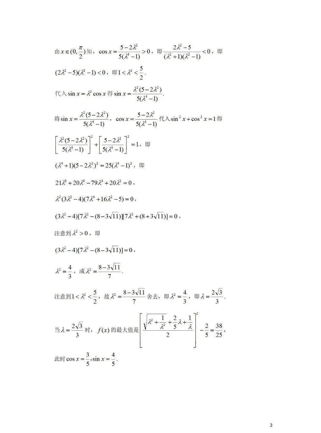
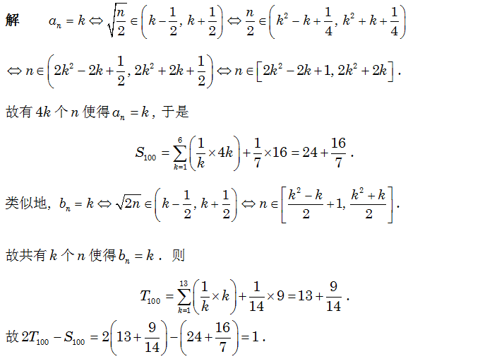
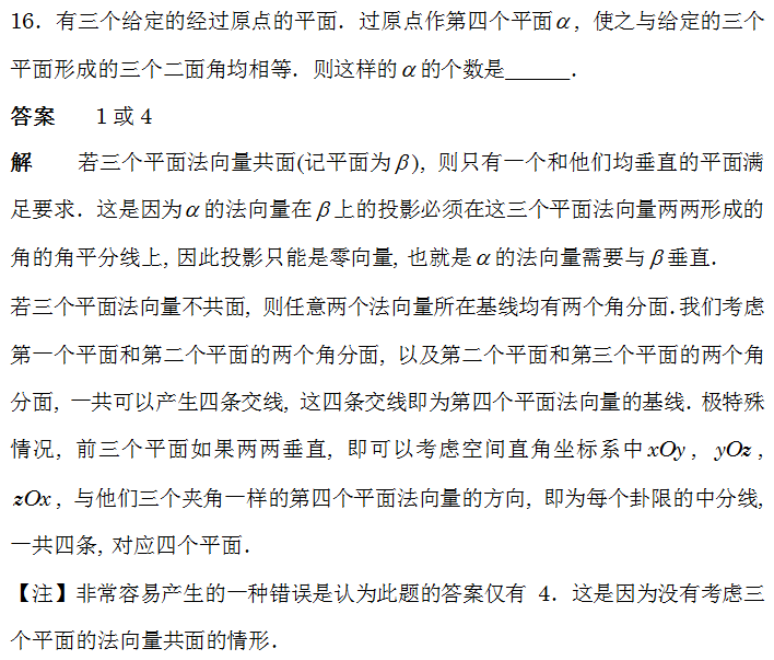
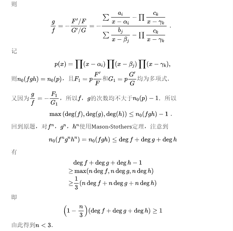
数学试题解析(非官方)





作文题目:( 2篇500字)
第一篇是“简述你的第一志愿的内容、研究与应用方向和你学这门学科的优势。”
第二篇是“阅读袁隆平《我的梦想》,结合材料阐述你选专业的原因和你的梦想。”
6月29日上午,北京大学2021年强基计划校测笔试考试开考,笔试在全国各地设置考点。
考试时间:6月29日上午9点-11点,共计2个小时。
考试科目:统一考查 语文、数学。
其中语文40题,数学20题,均为单项选择。语文每题2.5分,共100分;数学每题5分,共100分。
试题难度:考生普遍反馈数学较难,试题达联赛二试难度,部分有竞赛基础的考生也表示有大约1/4左右的试题不会。
以下数学试题来源于:猿辅导

























笔试语文:
包括 3篇现代文和3篇古诗文
现代文:
冯友兰《论儒与侠的共同道德》
废名《万寿宫》
穆旦《城市之舞》
古诗文:
何逊《咏早梅》
《世说新语·政事》陶公性检厉《晋阳秋》
元好问《市隐斋记》
破格生面试试题:
1、自我介绍,时间不超过2分钟
2、请列举几个图论中的概念并加以说明
3、在数学学习中遇到了什么困难是如何解决的?
2021年上海交通大学强基校测包括笔试、面试和体质测试,于6月28日-7月1日在上海交通大学闵行校区举行,其中笔试科目不计入成绩。
考试情况:
笔试:基于所报专业,数学、物理、化学、生物任选一科。笔试时间6月28日上午9:00-11:00,考试时长120分钟,考生7:30入场。
面试:上交大面试采用三对一模式,考生先进行自我介绍,考官随机提问。
校测试题:



面试
1、自我评价一下你的性格特点是什么样的?
2、为什么蜡烛的火焰是向上的?
复旦大学强基计划校测于6月30日-7月2日在复旦大学举行(含笔试、面试和体质测试),其中:
1、A类考生根据所填报的专业志愿参加笔试,满分100分,按分省分专业计划数的2倍划定笔试合格线:笔试合格方可参加面试,笔试不合格不再参加后续选拔环节、不计校测成绩。
2、组织相关学科专家对入围考生进行面试,专家、考生以“双随机”抽签方式配对,面试全程录音录像。
3、校测成绩满分为150分。








中国科学技术大学2021年强基计划笔面试考试于6月30日进行,其中笔试时间为上午8:00-11:30,面试时间为下午14:00-19:00,校测地点为 中国科学技术大学西校区第三教学楼。广东考生的校测环节于线上进行。
测试内容:
笔试:科目为 数学、物理,重点考察相关学科基础、逻辑思维能力和运算能力;
面试:结合考生的综合素质评价材料和面试表现,重点考察兴趣志向、学科特长和创新潜力。面试采取专家、考生“双随机”抽签的方式,测试全程录音录像。
测试难度:
据考生分享,中科大强基校测数学试题大概在竞赛初赛水平,物理涉及大学物理知识。
校测试题:

第9题解析来源于微信公众号:恩次方根



南京大学2021强基计划校测于6月29日-30日举行,具体面试模式及安排如下:
广东考生:远程网络面试,面试时间6月30日
其他省份考生:进校参加测试,地点为南京大学仙林校区。测试项目包括 笔试、面试及体育测试,时间6月29日-30日。
校测难度:
难度都在高考偏上,数学有部分预赛水平。
校测试题:
南大校测理科考数学+物理,考试时间90分钟。一共6道大题,3道数学3道物理。
笔试:

面试:
1、17根棒子,两个人玩取棒游戏,每次取1或2根的先手必胜策略
2、牛一牛二是什么?为什么牛一不是牛二的特例?
3、电中性球体在电场中达到电平衡后把正电和负电部分分开请问两部分电势一样吗,为什么
4、为什么报该专业,谈谈对该专业的认识
华东师范大学强基校测包括 面试与体育测试,校测时间6月29日、6月30日,考生需至上海市闵行区莲花南路5005号华东师范大学第一教学楼106室报到。
校测试题:
1、怎么裂解细胞,说出方法和原理
2、说出天干地支
西安交通大学强基笔试方向:数理思维,创新设计, 内容为基于高考,高于高考,没有具体科目

2021西交大强基笔试试题(创新设计卷)
第一题(15分):
直升机机翼半径5m,机翼转速每分钟600转。
① 求直升机的最快运行速度;② 设计速度表上的极限速度。
第二题(15分):
无限大空气里有一个直径一米的铁球,用电子枪不停射入电子。
① 铁球能接收的电子数有没有极限,有就估算极限,无就说出理由;② 铁球的极限电位是多少,极限电位与什么因素有关。
第三题(15分):
用中子制成的中子弹可以穿透坦克,杀伤内部人员。
① 电子的直径比中子更小,是不是更容易穿透坦克,为什么?
② 估计中子能穿透钢铁的最大厚度。
第四题(15分):
你是一名士兵指挥官,现有一个隐秘的敌军炮兵营地在不停开炮,我军损失惨重。你的上级要求你剿灭这个炮兵营地。由于气象原因,无法进行空中勘测。你只有不到十名士兵,所以无法进行地毯式搜索。但是你能确定敌方离你不远,因为你能听见开炮声。你有若干走时精确的电子表,能进行准确同步。
请你设计出一个方案,并说明详细步奏。
第五题(10分):
① 火是什么物质;
② 水,二氧化碳都是由可燃性元素组成的,为什么它们都不可燃;
③ 可燃性元素这种说法准确吗?为什么?
第六题(18分):
① 热胀冷缩的根本原因是什么?
② 水的异常热缩冷胀温度范围是什么?
③ 为什么水会出现热缩冷胀现象?
④ 如果水分子的极性键夹角是180°,会出现什么现象?
第七题(12分):
钢的价格是6000元每吨,铜是70000元每吨。
① 为什么枪管用钢造,子弹用铜造?
② 为什么要往子弹头里铸铅?
2021西交大强基面试题
面试分5个环节(6个考生5个考官):
第一环节:英文自我介绍
每人2分钟,如果没用完2分钟,考官会就你的自我介绍进行提问(全英文)
第二环节:人文素养问答
每人3分钟,1道题
第三环节:科学素养问题
每人4分钟,1道题,记下了6道题:

第一题:a,b是两个有质量的物块,b左端有轻质弹簧,地面光滑,a,b具有一定的初速度,相撞后a处于静止状态,b运动状态未知,问a,b两物块的初动量,初速度,质量,初动能谁大谁小。

第二题:三角形是飞机,连在一根金属杆上,航母上的飞机需要在短距离内进行起飞,上图为航母上的飞机弹射起飞装置示意图。问:通过高能电源后,飞机向哪边飞行,为什么?
第三题:宇宙在不停膨胀,从宏观角度观测,远距离天体在不停远离我们,而且远离我们的速度在不停加快,这似乎违背了引力定律,问:这是否违背了引力定律,为什么?
第四题:一个物体通过一根轻质细绳挂着天花板上,物体下部再连接一根轻质细绳,两根细绳能承受的最大拉力相同,现用力向下拉下面的那跟细绳,问哪根细绳先断?

第五题:把原子核延z轴加速到接近光速,观测到的原子核应该是什么样的?(面试的时候没有图上括号中的内容)

第六题:
1.列出七个国际基本物理单位(小坑,是单位,不是物理量)
2.列举出你知道的常量
3.你认为是物理常量重要还是基本物理单位重要,为什么?
4.为了简便计算,把物理常量的值设为1(例如:引力常量G设为1),可不可以,为什么?
第四环节:小组辩论
3对3自由辩论,共8分钟
第五环节:心理测试
与心理老师交流,共8分钟



